Gerak Translasi dan Rotasi
A. Gerak Translasi
Gerak Translasi merupakan gerak berpindah tempat atau berubah posisi dari suatu titik ke titik koordinat yang lainnya.
Selama dalam bertranslasi, benda dapat mengalami berbagai macam gerakan baik rotasi maupun vibrasi.
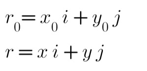
untuk mempermudah pembahasan maka gerak rotasi dan vibrasi benda ketika bertranslasi dapat kita abaikan, kita anggap benda tersebut sebagai benda titik. Mula-mula benda titik tersebut berada diatas bidang datar dengan titik koordinat (xo - yo) yang bergerak ro dari titik acuan. Setelah ∆t detik, benda tersebut telah berada pada titik koordinat (x,y) yang bergerak r dari titik acuan. Dengan bentuk lintasan seperti pada gambar dibawah ini:
Besar vektor perpindahan benda selama selang waktu detik tersebut adalah jarak garis lurus antara titik asal (xo,yo) terhadap titik akhir (x,y) atau
∆r = r - ro
Gerak Rotasi adalah gerak putaran benda pada porosnya atau sumbu putar yang melalui titik pusat massa.
Hubungan antara gerak translasi dan gerak rotasi
Perpindahan Translasi dan Rotasi
Kecepatan Translasi dan Rotasi
Percepatan Translasi dan Rotasi
Beberapa contoh gerak rotasi sering dijumpai dalam kehidupan sehari-hari, salah satunya bumi berotasi pada sumbunya untuk bergerak mengelilingi matahari dalam orbit yang berbentuk elips, demikian juga dengan bulan yang berotasi pada sumbunya untuk bergerak mengelilingi bumi.










